Lecture 2 - Financial Markets and Institutions

This lecture defines the common securities used in finance, differences in the various securities, and the functions of the financial system. Investors and savers have two choices to invest in financial securities. They can invest directly in the financial markets or use a financial intermediary. A financial intermediary serves as a middleman. Finally, interest rates, risk, inflation, and rates of return are discussed.

The Financial System

1. Financial Instruments

  1. Differ by types
    • Ownership / equity
      • Stock - stockholder owns a piece of the corporation and shares in the profits (dividends)
      • Mutual fund - a way to lower investment risk
        • The fund's management buys a variety of stock, like Microsoft, Facebook, McDonald's, etc.
        • Microsoft stock may increase one day, while Facebook's decreases; however, the fund could earn a positive return
        • Investors and savers can buy shares into the mutual fund
        • If a stock becomes worthless, such as Bank of American during 2008, then mutual fund still has value with the other stocks
    • Loan / debt - borrower pays back a loan
      • Loan has three parts
        • Principal - amount of the loan
        • Interest - fee for using the loan
        • Maturity - the date of the last payment
      • Common types
        • U.S. government securities - loans to the U.S. government
          • Treasury Bills (or T-bills) - maturity ranges from 15 days to one year
          • Treasury Notes (or T-notes) - maturity ranges from one year to 10 years
          • Treasury Bonds (or T-bonds) - maturity starts at 10 years and more
        • Certificates of Deposit (CD's) - loans to banks and sold to depositors.
          • The CD has a fixed time period.
          • If the CD is withdrawn early, then the investor does not receive the interest.
          • CDs tend to pay a higher interest rate than a savings account.
        • Corporate bonds - loan to a corporation
        • Mortgage - a bank grants a loan to a family to buy a house and land
          • Commercial mortgage - a loan to a business to buy land and buildings
          • Usually collateral loans
          • Collateral - the property is the collateral. If the borrower stops paying his/her mortgage, then the bank can take the property
          • Foreclosure - the process where a bank takes possession of property
        • Commercial paper - short-term loans to well-known banks and corporations
          • Loan has no collateral
  2. Differ in maturity
    • Money Market - maturity of less than one year
      • "Loan is good as cash"
      • Liquidity - ease of converting an asset into cash quickly for low transaction costs
        • Most liquid asset is cash
        • Least liquid is house or car
      • Money market securities are very liquid
      • T-bills, CD's, commercial paper, etc.
    • Capital Market - securities with a year or more in maturity
      • Stock (no maturity)
      • Corporate bonds, T-notes, T-bonds, mortgages, etc.
  3. Differ in time
    • Spot transactions - buyer and seller of securities exchange money for the security immediately
      • All financial securities can be bought or sold in spot markets
    • Derivatives market - buyer and seller agree to a price today, but actually exchange the product for money on a specific date in the future
      • Derivatives are contracts that can be bought and sold on the markets
      • Derivative means contract "derives" its value from the asset in the contract
      • Derivatives
        • Petroleum
        • Coffee
        • Foreign currencies
        • Financial securities
      • Types of Derivatives
        • Forward / futures contract - buyer and seller agree to a price today in the contract and exchange money for commodity on a specific date
        • Options - buyer or seller has the choice to buy or sell the commodity in the contract
          • Similar to insurance
          • Call option - buyer may choose to buy commodity in contract
          • Put option - seller may choose to sell commodity in contract
      • Could make or lose an insane amount of money on derivatives
      • Derivatives were involved in the 2008 Financial Crisis

2. Financial Market - a place where the buyers and sellers exchange financial securities for money

  1. Primary market - a market where new financial securities are introduced
    • Specialized market for dealers and brokers
    • Government issues new securities
    • Investment bankers help corporations and government issue new securities
  2. Secondary market - a market where existing financial securities are traded
    • Organized exchange - a physical location where the buyers and sellers of securities meet face to face
      • Oldest form
      • New York Stock Exchange
    • Over-the-counter (OTC) market - has no central location
      • Dealers and brokers are connected by internet and phones
      • Modern form
      • National Association of Securities Dealers' Automated Quotation (NASDAQ)
        • Microsoft is listed on NASDAQ
      • Bursa Malaysia - the OTC market
        • Has primary and secondary markets
        • Has derivatives

3. Functions of the Financial System

  1. Transfer resources through time, across regions and countries, and among industries
    • The more complex the society, the more complex its financial system
  2. Transfers risk
    • Risk - borrower may default on a loan; borrower does not pay the principal and/or interest
  3. Clears and settles payments
    • People, governments, and businesses purchase goods and services
    • Financial system settles the payments between buyers and sellers anywhere in the world
  4. Pools resources and subdivides shares
    • Mutual Fund
    • Financial system allows small investors to invest in large securities
    • Example - smallest denomination T-bill is $10,000
      • Investors can buy into a money market account at a bank for hundreds of dollars
      • The bank invests in T-bills and pools them into a money market account
  5. Provides information
    • The financial system provides information about the interest rates, stock prices, etc.
    • People use this information for planning, investment, etc.

 

Financial Institutions

1. Investor have two options; buy financial securities directly from the financial markets or use an intermediary. A financial intermediary connects the investors and savers to the financial markets (middleman)

  1. Commercial Banks - accepts deposits and make loans
    • Oldest and largest financial institutions
    • Date back to Italy during the Renaissance
    • Note - Savings and Loans associations, savings institutions, and credit unions are similar to banks
  2. Investment Banks - help corporations issue new bonds and stock, and government issue new bonds
    • Underwriting - investment banker guarantees selling price
    • Help with corporate takeovers
    • U.S. government split banks into either investment or commercial during Great Depression (Glass- Steagall Act)
  3. Insurance Companies - insure against risk
    • Insure against medical emergency, car accident, or the death of a family member
    • Premiums - person makes monthly payments to insurance company
      • Company invests in the financial markets
      • Profits - earnings from financial markets exceed payouts of insurance
    • Law of Large Numbers - statisticians can accurately predict how much the insurance company will pay out in claims
    • Adverse Selection - person taking out insurance is more likely to use it
      • Person has more information than insurance company
      • Person with a bad heart takes out a life insurance policy
      • A reckless driver takes out car insurance
    • Moral Hazard - person becomes more careless after buying insurance
      • Driver buys car insurance and drives more recklessly
      • Person eats more junk food after buying medical insurance
    • Reduce problems
      • Risk-based premiums - insurance company uses information about customers to adjust premium
        • Gathers credit, medical, driving records, etc. on consumers
      • Deductible - person making a claim pays first portion of damages
        • Person pays first $500 (deductible) bin medical claims
        • Person could pay $1,000 deductible to lower insurance premium
  4. Pension and Retirement Plans - a worker contributes funds to a pension company and receives benefits when worker retires
    • Defined contribution pension plan - workers contribute a specific amount into the pension fund
      • Employer also contributes to the pension plan
      • When worker retires, his/her payout depends on market value of pension fund
      • 2008 Financial Crisis - many people lost at least half or more the value of their pension plans
    • Defined Benefits Pension Plan - worker is promised a specific payout based on number of years of service to the company and employee's earnings
      • Most common type, especially government workers
      • If pension fund has losses, then employer makes up the short fall
    • Life Annuity - insurance in reverse
      • A person pays up-front a large sum of money or makes periodic payments while they work
      • When a person retires, the annuity pays out periodic fixed payments until the person dies
      • Example - A 50 year old male pays up-front $17,500 to the annuity
        • At 5% interest, the male receives $100 every month until he dies
        • If a woman buys the annuity, then she gets $94 per month
        • Women tend to live longer than men
  5. Mutual Funds - pool together funds from many people into a fund, and invest the money in a variety of stocks
    • Investors purchase shares to the mutual fund
    • Diversification - mutual fund invests in different types of stocks
    • Closed end mutual funds - funds issue fixed shares and investors buy and sell shares through the OTC markets
    • Open end mutual funds - the share's price is tied to the value of the assets in the fund
  6. Venture Capital Firms - very similar to an investment bank
    • Provide capital and financing to new startup companies
    • Usually high-tech companies

2. Government agencies and institutions

  1. Government regulates financial markets
    • United States - Securities and Exchange Commission (SEC) - regulates the stock market exchanges
      • Protect investors
      • Reduce fraud
      • Punish insider trading
      • Insider trading - investment bankers and financial analyst may have inside information about a company
        • They can secretly buy securities to profit from it
        • Example - an investment banker knows a corporation plans to take over another company. That company's stock will soar during the takeover, so the banker can take advantage of this information
  2. Central bank is at the center of the financial system
    • One of the most powerful institutions in a country
      • Increases or decreases a country's money supply
      • Interest rates
      • Exchange rates
      • Inflation
    • Examples
      • U.S. - Federal Reserve System (or Fed)
      • Europe - The European Central Bank
      • Britain - The Bank of England
      • Bank Negara Malaysia

 

Interest Rates and Rate of Return

1. Interest rates

  • All debt securities have an interest rate
    • Commercial paper - commercial loan rate
    • Mortgage - mortgage rate
  • All interest rates have
    • Unit of Account - securities are denominated in a currency
      • Euros, U.S. dollars, British pounds, Japanese yen, etc.
      • Investing in foreign financial securities can gain or lose, when the exchange rate changes
    • Maturity - usually interest rates are higher on long-term securities
      • People prefer their money now than later
    • Default risk - the greater the default risk, the higher the interest rate
      • Credit agencies evaluate bonds of corporations and governments
      • Moody's, Standard and Poor, etc.
      • Example - Greek government has junk bond status; high probability of default (high risk)
2. Yield Curve - usually plot U.S. government securities by the market interest rates and maturity.
  • Usually defined by U.S. securities,
    • U.S. government issues a variety of securities with maturities ranging from 15 days to 30 years.
    • All securities have same risk, uncertainty, etc.
    • No other business comes close to issuing a wide range of securities that differ by maturity
    • U.S. Government Securities, July 31, 2000
      • 1-month T-bill 6.07%
      • 3-month T-bill 6.27%
      • 5-year T-note 6.16%
      • 30 year T-bond 5.79%
  • Yield curve is upward sloping
    • Most the time, the yield curve is upward sloping
    • Long-term interest rates are higher than short-term interest rates
    • Investors are compensated for lending money for longer periods of time
  • Yield Curve is downward sloping
    • Short-term interest rates are higher than long term
    • Investors are pessimistic about the future
    • Usually predicts a U.S. recession
      • Recession usually occurs 9 months to a year later
    • Refer to example below for July 31, 2000

3. Rate of Return - percentage of profit earned from an investment

  • Rate of Return has two components
    • Interest or dividends - calculate as a percentage
      • Interest rate is already a percentage
      • Dividend is calculated as a percentage

Return to the dividend

  • Resell the stock or bond before maturity
    • P is the market price
    • Capital gains - sold security for higher price
    • Capital loss - sold security for lower price
  • The formula is:

Capital gain or loss

Total return - add capital gain (or loss) to the dividend (or interest)

  • Example 1 - You bought Facebook stock for $100 per share
    • You sold it a year later for $120 per share
    • You earned $1 dividend
  • What is your return?

Example of calculating a return

  • Example 2 - you bought Kodak stock for $20 per share
    • You sold it a year later for $10 per share
    • You earned $2 for dividend
  • What is your return?

An example of calculating a return

  • Note
    • Replace dividend by interest rate for bonds
    • Returns are usually defined in annual terms
    • If you hold the security until maturity, then the return is the market interest rate that you bought the security

4. Risk Premium - inavestors charge higher interest to borrowers with more risk

  • U.S. government bonds are considered riskless securities
    • Standard and Poor did downgrade the U.S. gov. bonds by one notch
    • Why?
      • U.S. government can "print money"
      • U.S. government can increase taxes
  • Example 1
    • A five-year Treasury note is 8%
    • The project has a rate of return of 12%
    • The risk premium is 4%
  • Example 2
    • A project has a rate of return of 8%
    • A comparable U.S. government security is 8%
    • The risk premium is 0%
    • It would have been wiser to invest in the U.S. government security
      • Projects always have a degree of risk
      • Risk premium should always be positive

5. The Fisher Effect or Fisher Equation -

  • Inflation is the continuous rise in prices
    • Inflation erodes the value of money
    • If inflation is 50% per year
    • If bread costs $1 today, then the bread costs $1.50 in one year
  • Nominal - numbers are not adjusted for inflation
    • Most contracts in United States are in nominal terms
  • Real - numbers are adjusted for inflation
  • Several methods to measure inflation
    • Consumer Price Index (CPI) - measure price changes from a basket of goods
      • CPI tends to overstate inflation
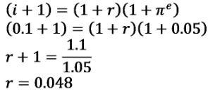
  • Example 1
    • Expected inflation rate, p e, is 5%
    • Nominal interest rate, i, is 10%
    • What is the real interest rate, r?

Calculating the Fisher Effect for an example

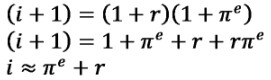
Many economists use the approximation when interest and expected inflation rates are low

The approximate Fisher Equation

Usually inflation rates are low, so the term r p e is very small.  However, inflation is important
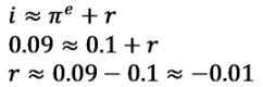
  • Example 2
    • The expected inflation rate, p e, is 10%
    • Nominal interest rate, i, is 9%
  • What is the real interest rate?

Calculating an example using the Fisher Equation

blue arrow

Real rate of return is negative. It means the return of our cash flows is 9%, but all prices in the economy are 10% higher, causing a loss to our investment