Lesson 6 - Valuation of Stocks

The lecture shows how to calculate the value of stocks. Corporations may issue stocks to expand operations or can buy or sell stocks as investments. This lesson provides an overview of stocks and how to apply net present value to stock cash flows.

Overview of Stocks

1. Sources of Corporate Stock

  1. Investment banks - help corporations issue new stock
    • Not a regular bank
    • Marketing agent for new securities
    • Help corporation issue new stocks and bonds
    • Help one corporation take over another
    • This process is called underwriting.
      • Underwriting lowers information costs
      • The investment bank guarantees a stock or bond price for corporation
      • Investment bank tries to sell the new stock or bond for a higher price.
        • To earn profit
    • Required to disclose information to investors, preventing risk and fraud
    • Prestigious investment banks
      • Merrill Lynch
      • Goldman Sachs
      • Credit Suisse
  2. Organized exchanges - buy and re-sell stocks
    • Secondary markets increase the liquidity of securities
    • New York Stock Exchange (NYSE)
      • Oldest and largest U.S. corporations are listed on the NYSE
    • American Stock Exchange (AMEX)
      • Less well known corporations are listed on AMEX.
    • Only members, called specialist , can enter these exchanges.
    • Example - if you want to buy Coca-Cola stock, you have to contact a broker who will contact a specialist at the New York Stock Exchange
      • The specialist matches prices and quantity of stock for the buyers and sellers

2. Factors that influence whether a company pays dividends or not

  1. Small companies do not tend to pay dividends
    • Have small earnings potential, but high growth potential
  2. If government taxes income from dividends higher than capital gains
    • Investors would prefer growth in stock prices as opposed to receiving dividends
  3. CEO receives part of compensation in company's stock
    • CEO may encourage growth in stock prices and less emphasis on dividends
  4. If company is paying dividends, then company may be optimistic about its future earnings

3. Insider information - investment bankers have inside information about corporate mergers

  • Corporate merger causes stock price to increase
  • Investment bankers can secretly buy stock or share information with friends
    • Can make large amount of profit
  • Illegal in the United States
    • Regulated by the Securities Exchange Commission

4. Market index - a measure of broad movements in a financial market

  • Dow Jones Industrial Averages
    • Also called the “Dow” or “the industrials”
    • Invented in 1882 and  is the oldest index of the U.S. stock market
      • Also the most popular index used today
    • Calculate a weighted average by taking 30 representative stocks of market
      • There are adjustments, when companies merge, bankrupt, stock splits
      • Coca-cola
      • IBM
      • Proctor & Gamble
      • Exxon
  • Standard and Poor's 500 (S&P 500) is another index
  • Two benefits
    • Fast information - calculated in seconds and dispensed to investors
    • Compiled by private company
      • Not influenced by government, companies, etc.
    • Wall Street Journal calculates the Dow.

5. Stock Market Crashes

  • Terminology
    • Bull - investor believes stock prices will keep increasing (optimistic)
    • Bear - investor believes stock prices will fall (pessimistic)
  • A dramatic drop in stock prices during a short period of time
    • Bankrupts investment companies, insurance companies, and commercial banks
    • Banks grant loans to investors that investors cannot repay
  • Also called a "financial bubble"
    • Bubble is a dramatic, fast rise in assets prices. Assets price reaches a point where prices fall, bankrupting institutions in this market.
    • A stock market crash in one market can lead to other stock market crashes to other markets, even in foreign countries.
  • Market crashed on
    • October 1929 - the start of the Great Depression
      • Unemployment peaked at 26% in the U.S.
      • October 24, 1929
      • October 28, 1929
      • October 29, 1929
    • October 19, 1987
      • New York Stock Exchange “crashed.”
      • The Dow Jones fell by 508 points (or 27.8%) in one day.
      • This was the largest loss in U.S. history
    • Dot-com crash in March 2000
      • Dot-com are internet companies
    • October 11, 2007 - June 2009
      • 2008 Financial Crisis
      • Technically not a crash, but stock prices dropped in half in two year
    • Wikipedia.org has list of stock market crashes
  • Psychology behind the stock market.
    • Investors are human!
    • Investors see the Dow Jones increasing quickly
    • They put more money into the stock market.
    • More money into the stock market causes stock prices to increase further
    • If investors see stock market prices decreasing, then they take their money out of the stock market, and stock prices decrease further
    • Market moves in cycles

Valuation of Stocks

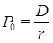
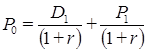
1. The value of an asset equals the present value of all the asset's future cash flows. Also call the present value the market price.

  • Can build an infinite sequence
  • Market price of a stock at time zero:

Valuation of a share of stock

  • P is market price
  • D is dividends
  • r is rate of return
  • The subscripts are time.
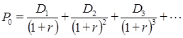
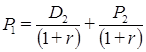
  • Market price of a share of stock at Time 1:

Valuation of a share of stock in next time period

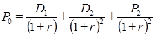
Substitute P 1 into P 0:

Value of stock price for next two years of dividends

Keep building sequence, substitute P 2 into P 0, and so and until:

Value of a share of stock as an infinite sequence of future dividends

If dividends are all the same, D = D 1 = D 2 = ... = D n, then the market price becomes a perpetuity

Calculating a stock price as a perpetuity

  • Example 1 - You want to purchase stock as a long-term investment.
  • Your rate of return is 5% and you expect the corporation to pay $2 per share indefinitely.
  • What is the market value of this stock?

Calculating the market value of a share of stock

  • What is the value of this stock in one year?
    • A trick question
    • You are expecting to receive the same dividends year after year, so the market price is still $40.00.
    • There are no capital gains

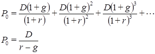
2. In some cases, the dividend can grow over time

  • If the dividend grows at the same rate, then the present value formula can be updated to include a growth rate.
  • The growth rate is g.

Adding a growth rate to dividend

  • Example 2 - You are wanting to purchase stock as a long-term investment.
  • Your rate of return is 10%, you expect the corporation to pay $2 at Time 1, and dividends grow at 5%.
  • What is the market value of this stock?

An example of calculating a market stock price

What if the growth rate of dividends grow at 2%?

An example calculating a market stock price

Why is it less?

Blue Arrow There are two forces. The discount rate lowers the future value of cash flows, while the dividend growth rate make future cash flows more valuable.
  • Example 3 - You are wanting to purchase stock as a long-term investment.
  • Your rate of return is 12%, you expect the corporation to pay $5 at Time 1, and dividends grow at 5%.
  • What is the market value of this stock?

An example of calculating a stock price

  • What is the value of stock at Time 1?

Stock price in Time 1

  • What is the percent change in stock prices?

% D P = ($75 - 71.43) / 71.43 = 0.05

  • We can plot the relationship between growth rate and present value. If dividends is set at $1 , then the plot is below.

Present value of a stock price given a growth rate in dividends

  • Note: If g > r, then future cash flows become more valuable over time. Thus, the present value becomes negative.
  • We can plot the relationship between rate of return and present value. If dividends is set at $1, then the plot is below.

Present value of a stock price given a change in the rate of return

  • Example 4 - If the stock price is $100 per share, dividends are $3, and are expected to grow 5% per year, what is the rate of return on this investment?

An example of calculating a rate of return for a stock

  • Some corporations, especially in high-tech industries, initially pay low dividends. As corporation grows rapidly, corporation pays higher dividends.
  • We can modify the net present value to handle this situation.
    • Non-steady state - use present value to write out all cash flows
      • Growth rate is not constant
    • Steady state - dividends increase at a constant rate.
      • Constant growth rate
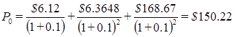
  • Example 5 - If corporation pays a dividend of $6 at time 1, rate of return is 10%, and dividend grows 2% for first year, 4% for second year, and 6% for year 3 and beyond.

Solve for dividends for each year

Year 1:     D 1 = $6(1+0.02) = $6.12

Year 2:     D 2 = $6.12(1+0.04) = $6.3648

Year 3:     D 3 = $6.3648(1+0.06) = $6.746688

  • We also have to calculate the perpetuity associated with dividend paid in Year 3 and beyond.
  • Remember the time subscripts.
  • P is one period before the dividend payment.

An example of calculating a stock price

  • Now we can construct the net present value of cash flows

An example of calculating a stock price

  • Example 6 - A new startup internet company will not pay dividends for the first three years.
  • In year 4, the company will start to pay a dividend of $10 and will grow at 5% per year.
    • The rate of return is 8%.
    • First, D 1 = D 2 = D 3 = 0
  • In Year 4, then D 4 = $10; calculate the perpetuity.

Calculating the stock price in Time 3

  • However, this is in Year 3. Use net present value to obtain value in Time 0.

Calculating a stock price for Time 0

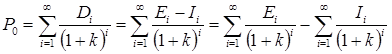
Earnings and Investment

Definitions

  • Dividends yield - dollar amount of dividend divided by market price

Dividend yield

  • Price-earnings ratio - stock price divided by annualized earning per share

Price earnings ratio

  • Investor focuses on earnings and investment
  • Notation
    • Dividends are D
    • Earnings are E
    • New net investment is I

Dividends equal earnings minus new net investment

Net investment, I = Gross investment - depreciation

  • Depreciation - accounting for wear and tear on machines, equipment, and structures
  • If I = 0
    • Company's investment just covers the degradation of its machines and equipment
  • If I < 0
    • Company may be in an industry in decline
  • If I > 0
    • Company may be in an expanding industry
    • Dividends are expected to increase over time
      • Growth rate > 0

Substitute D i = E i - I i into stock evaluation equation

The stock price equals the NPV of earnings and new net investment

  • Note - k replaced the rate of return
  • k is called the market capitalization rate

High price-earnings rate, P / E

  1. Relatively low market capitalization rate
    • k is in the denominator
    • Small k causes NPV of earnings and net investment to be higher
  2. High NPV for added investments
    • New net investment leads to higher growth in future dividends and earnings
    • Growth rate of dividends is omitted from equation

References

Educational Service Bureau, 1992. How to Read Stock Market Quotations and The Dow Jones Averages: A Non-professional's guide. Dow Jones & Company, Inc.

Wikipedia. March 2012. "List of stock market crashes." Available at http://en.wikipedia.org/wiki/List_of_stock_market_crashes (access date: 3/15/12).