Lecture 8 - Market Evaluation of Derivatives

This lecture is a continuation of derivatives. Students will learn the market evaluation of future contracts, and European call and put options using Black-Scholes formula.

Market Evaluation of Futures

Arbitrage - an investor profits from price differences between different markets

  • Market prices differ by location, and time
    • Investor buys low and sells high
    • Price difference disappears, as investors move one product from one market to another
  • Investor buys gold for one year
  • Notation
    • return is r
    • Spot price in one year is S t
    • Spot price today is S
    • Storage cost is c
  • Return to investment is:

Return to investment from buying gold

  • Synthetic investment - the investor can invest in gold by buying gold futures contract
    • Synthetic - investors does not hold gold
    • Investor buys gold futures (no money down)
    • He invests his funds in a riskless security that earns a return, r
  • The return to his investment is:
  • Remember, he buys gold for F, and sells it for S t

A synthetic investment into a gold futures

  • Investors look at both investment opportunities. They use arbitrage to move funds around until Arbitrage causes the different rates of return to equal
  • Set both rates of return equal to each other, and solve for F

Evaluating a futures contract from a spot price

  • Note - this is not a forecast of the future price of gold
  • We are using reasoning to place a value on a futures contract
  • Example
    • The riskless interest rate for a safe investment is 3% per year
    • The storage cost is 2% per year
    • The gold's spot price is $2,000 per ounce
  • The value of a future's contract is:

Evaulating a futures gold contract

Market Evaluation of European Options

Financial wizards use Black-Scholes model to estimate a Europeans option's premium

  • Uses stochastic calculus
    • Black and Scholes model European option premiums as a random walk
    • A random walk is:
      • X t = X t-1 + random error
    • random error is normally distributed with a mean of zeor
    • Click on spreadsheet to see an example of a random walk
  • Notation
    • The call's premium is C
    • The put's premium is P
    • The spot price of the commodity is S
    • The exercise price of the commodity is E
    • The riskless interest rate is r
    • The time to maturity of the option in years is T
    • The volatility of the spot price is s
  • Functions
    • The natural logarithm is ln
    • The base of the natural logarithm is e, where e = 2.71828...
    • The probability of a random variable drawn from a standard normal distribution is N(d)
      • N stands for the normal distribution
      • Standard normal has mean = 0, and a standard deviation = 1
      • The example is shown below:

Integrating the standard normal distribution

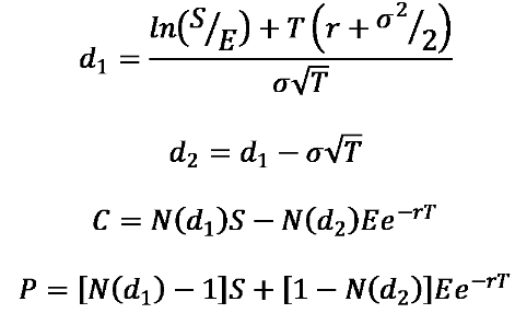
The Black-Sholes equations are:

The Black-Sholes equations

  • Example:
    • The spot price, S, is $100
    • The exercise price, E, is 100
    • The riskless interest rate, r, is 8%
    • The time to maturity, T, is 0.5 years
    • The volatility, s, is 0.2
  • Note:
    • Use the Excel function, NORMDIST
    • Example: if d = 0.85, then the N(0.5) is "=NORMDIST(0.85,0,1,1)"
  • The premiums for the European call and put options are:

Calculating the option's premiums using Black-Sholes

The following table indicates what happens to an European option's premium, if one of the factors changes:

  • For example
    • If the volatility of the spot prices increases, then both the premiums for European call and put options will increase
    • If the spot price increases, then the European call option will increase, while the put option will decrease
      • Note - the premium increases because it is more likely to be exercised, while a premium decreaes indicates a less likelihood of being exercised.
Term European Call
Option Premium
European Put
Option Premium
Spot Price Increases increase decrease
Strike Price Increases decrease increase
Riskless Interest Rate Increases increase decrease
Option's Maturity Increases increase increase
Volatility of Spot Prices Increases increase increase