Lesson 10 - Capital Investment Decisions

The lesson defines concepts used in project evaluation and introduces two examples. The examples include deriving the pro forma financial statements and estimating the net present value of a potential project.

Project Evaluation

Capital Budgeting - analyzing decisions to launch new products, invest in new factories, warehouses, and training

  • Project Evaluation estimate cash flows in order to make the investment decision
    • New projects are risky
    • Involves large sums of money
    • Ties up money for a long time period
    • Once expansion proceeds, it is difficult to stop
  • Calculate the net present value of cash inflows and outflows of the projects
  • Net present value (NPV)
    • If NPV is positive, then proceed with project
    • If NPV is negative, do not proceed with projects
  • Investment projects fall into three categories
    • Invest in a new product line, such as plants, equipment, and inventory
      • Includes research and development
    • Invest in automated equipment to reduce labor costs
    • Replace an existing plant, or expand capacity
  • Definitions
    • Net working capital - current assets minus current liabilities
      • Ensures a business has funds to finance current operations of a business
    • Salvage Value Can sell equipment or buildings for cash when no longer need
      • Last term in net present value
    • Sunk costs - company paid costs in the past and costs cannot be recovered
      • Not relevant for current decision making
    • Opportunity costs - the costs of the next best alternative
      • If company did not invest in project, then company could invest funds into financial markets
      • Reflected by the discount rate
        • Adjust discount rate by risk or default premium
    • Variable costs - costs vary by production level
      • Materials
      • Workers' salaries
      • Utilities like water, electricity, natural gas
    • Fixed costs - costs do not vary by production level
      • Bank loan
      • Administration
      • Corporation president's salary

Examples

1. We estimate cash flows

Operating cash flow (OCF) = Net Income + Noncash Expenses

Operating cash flow (OCF) = Revenue - Total Operating Expenses - Taxes + Noncash Expenses

  • Noncash Expenses
    • Depreciation expense is an internal adjustment
    • No cash flow
    • Add to operating cash flow
  • Then include changes in investment, if paid in cash
  • Example 1: You have to projects A and B
    • Cost of capital = 10%
    • Both projects have an initial outflow of $10 million
Year Project A
(millions $)
Project B
(millions $)
1 1 5
2 2 4
3 3 3
4 4 2
5 5 1

Which project has a higher NPV?

Net Present Value for Project A

Net Present Value for Project B

Choose Project B, because it has a higher NPV

2. Prepare pro forma statements for a project KRS Enterprises

  • Sales of 10,000 units/year @ $5 per unit
  • Project costs
    • Variable cost per unit is $3
    • Fixed costs are $5,000 per year.
    • The tax rate is 34%
  • Project costs is $21,000.
    • Project life is 3 years
    • The project has no salvage value
    • Depreciation is $7,000 per year
  • Net working capital is $10,000
  • The firm's required return is 20%.

All tables are computed by from the example

Income Statement
Pro Forma
Sales (10,000 units / year @ $5 per unit) $50,000
Costs
    Fixed Costs 5,000
    Variable Costs 30,000
Depreciation 7,000
Earnings Before Interest and Taxes (EBIT) $8,000
Taxes (34%) 2,720
Net Income 5,280
Depreciation 7,000
Operating Cash Flows 12,280

Note - the income statement is assumed the same for the three years

The change to a firm's balance sheet if firm proceeds with project:

Change in Assets for Project
Pro Forma
Item Year 0 Year 1 Year 2 Year 3
Net Working Capital $10,000 $10,000 $10,000 $10,000
Net Fixed Assets $21,000 $14,000 $7,000 $0
Total $31,000 $24,000 $17,000 $10,000

Total cash flows for life of project

Total Cash Flows for Project
Pro Forma
Item Year 0 Year 1 Year 2 Year 3
Operating Cash Flow 0 $12,280 $12,280 $12,280
Net Working Capital -$10,000 0 0 0
Net Fixed Assets -$21,000 0 0 0
Total -$31,000 $12,280 $12,280 $12,280

(a) Net present value of cash flows:

Net Present Value for an example

Do not proceed with the project!

(b) Average value of assets

Average value of assets

(c) Average Return on Assets

Average return on assets

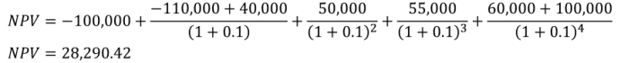
Example 3: Company plans to buy a new building

  • Pays $100,000 on first day of project
  • Pays $110,00 during first year
  • Company receives cash flow
    • Year 1: $40,000
    • Year 2: $50,000
    • Year 3: $55,000
    • Year 4: $60,000
  • Salvage value is $100,000, because company can sell land and building
  • Company can invest money and earn a 10% return on investments

Net Present Value for a project

Proceed with the project