Lesson 12 - Capital Asset Pricing Model

This lecture introduces the Capital Asset Pricing Model (CAPM) and how financial analysts can calculate risk premiums for corporate projects. Problems with CAPM are also discussed as well as how a project's rate of return can be decomposed into various components.

Capital Asset Pricing Model (CAPM)

1. Capital Asset Pricing Model (CAPM) - allows investors to determine a return on a project given a project's risk, market return, and a risk free investment

  • Estimate returns on risky assets
  • Prices adjust to supply and demand
  • Uses indexing
    • Indexing - holding a portfolio in the same proportions as a market index
    • S&P 500
  • Calculate risk premium on securities
  • Optimal Portfolio is to hold a combination of risky securities as the market portfolio
  • Capital Market Line (CML)

Capital Market Line

  • Point F - risk free asset
  • Point M - market portfolio
  • In equilibrium, CML represents the best risk-reward combination for all investors
  • Notation
    • Expected return on project is E(r)
    • Return for risk-free security is r f
    • Expected return on portfolio m is E(r m)
    • Standard deviation for portfolio m is s m
    • Standard deviation is s

Epected rate of return given combination of an investment

The slope of the capital market line

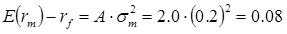
  • In CAPM, the equilibrium risk premium is:

Equilibrium risk premium

  • A is the degree of risk aversion
  • Example
    • s m=0.2
    • A=2.0
    • r f=0.2

An example of calculating a risk premium

  • The expected return is:

Expected return for an example

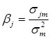
  • b is the marginal contribution of a security's return to the standard deviation of a market's return

Beta is calculatied from the covariance

where s jm=cov(security j, market portfolio)

The security market line is graphed as:

Security Market Line

Risk premium given a beta

  • If b j > 1, security's return is greater than market
    • "Aggressive"
  • If b j<1, security has an average risk
    • "Defensive"
  • Benefits
    • CAPM has performed better than actively managed portfolios
    • Cost less to implement than researching for an active portfolio

Example 1: If market return is 10%, a comparable U.S. government security is 4%, and b = 0.5, what return should the investment or project have?

An example of calculating a return to a project

If a project with a b = 0.5 has a return of at least 7%, then proceed with the project.  What if everything was the same except b = 2?

An example of calculating a rate of return to a project

You can include the rate of return into a project's net present value of cash flows. If the net present value is positive, then proceed with the project

Corporate Project

  • Pays $100,000 on first day of project
  • Company receives cash flow
    • Year 1 $45,000
    • Year 2 $50,000
    • Year 3 $55,000
  • At end of Year 3, company sells building for $50,000
  • Company has a b = 2.0

Calculating the NPV to a project with a beta of 2

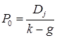
Valuation of a Stock Price

  • g is the growth rate in dividends
  • k is the risk-adjusted discount rate
  • D j is the stock dividend

Present value of a stock price

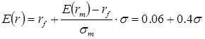
  • Using CAPM
    • r f = 0.04
    • b steady = 1.5
    • Risk premium is 0.08

Calculating the discount rate for a share of stock

Blue Arrow Expect the equity premium to be 1% to 8%. Any out of this range may be unrealistic.

Problems with CAPM

Problems with CAPM

  • True betas are unknown
  • True expected cash flows from a project are unknown
  • True expected returns from investments are unknown
  • Historical data
    • How far back should the data go
      • 3 years or 100 years
      • World changes; should focus on recent data
    • What about the impact of financial bubbles (or stock market crashes)
      • Dot-com crash of 2001
      • Stock market crash in 1987
      • These impact parameters if included
  • Predict stock market returns on forecasting dividends
    • Higher dividends should result in higher dividends
    • Problem - Stock market performed well when dividends were close to zero
  • Equity premium
    • Historical - stock market earn 3% more than bondholders
    • Problem - Use Rule 72
    • If the interest rate is 3%, then 72 divided by 3 is 24
    • At a 3% interest rate, your money doubles in 24 years
    • Problem - why is the purpose of investing in bonds
  • Survey of Experts
    • Problem - Experts can be wrong
    • Example - Recessions - do not ask an economists; economists are the worse at predicting recessions
  • CAPM does not distinguish between companies that have low debt or high debts
    • If you estimated a CAPM for a corporation
    • The corporation issues large amounts of bonds and uses it to buy back stock
    • As an investor, the higher debt is worrisome, but CAPM does not reflect it
  • Beta tends to be small for large companies and large for small companies
    • Some companies may be a good investment
  • Beta tends to be high for high-tech industries and low for traditional industries
    • Some high-tech investments were good like Microsoft
Blue Arrow Despite problems with the CAPM, 73% of executives use it to evaluate future projects.

Decomposing a Project's Rate of Return

Example 2: If market return is 8%, a comparable U.S. government security is 4%, and b = 1.0, what return should the investment or project have?

An example of calculating a rate of return for a project

What if you believe the inflation rate is 2%, then add this to the project's rate or return, yielding 10%.

What if the following events occur in one year when you invest $10,000?

Outcome Outcome (x) Probability (p) Expected
Return
Project payout $10,000 (1 + r) 0.9 ???
Gov. seizes assets $0 0.1 0%

This project needs to earn at least:

Calculating the future value

Using the payout matrix, the project needs a return of:

Calculating the rate of return given a prob that gov seizes assets

  • Total rate or return for project = 22.2%
  • Risk premium = 4%
    • Includes the impact of beta
  • Risk free rate of return = 4%
  • Inflation premium = 2%
  • Risk of government seizure = 12.2%